找回密码
 立即注册
首页 资源区 代码 手搓平衡搜索树-AVL树 平衡修正 图文详解 (万字长文) ...

手搓平衡搜索树-AVL树 平衡修正 图文详解 (万字长文)

榷另辑 2025-6-4 19:31:27
目录

  • AVL树

    • AVL树的概念

      • AVL树节点的定义:
      • AVL树的插入

        • 基本情况分析
        • 平衡因子对应的操作
        • 旋转操作

          • 分析需要旋转的情况

            • 结论

          • 4种旋转操方法与特征
          • 6种双旋平衡因子特征

        • 代码实现

          • 四种旋转实现
          • 插入操作实现
          • 树高度与是否平衡树判断实现
          • 其他实现

        • 插入验证
        • BenchMark

          • 环境
          • 测试工具和方法
          • 测试结果:





AVL树

AVL树的概念

二叉搜索树虽可以缩短查找的效率,但如果数据有序或接近有序二叉搜索树将退化为单支树,查找元素相当于在顺序表中搜索元素,效率低下。因此,两位俄罗斯的数学家G.M.Adelson-Velskii和E.M.Landis在1962年发明了一种解决上述问题的方法:当向二叉搜索树中插入新结点后,如果能保证每个结点的左右子树高度之差的绝对值不超过1(需要对树中的结点进行调整),即可降低树的高度,从而减少平均搜索长度。
一棵AVL树或者是空树,或者是具有以下性质的二叉搜索树:

  • 它的左右子树都是AVL树
  • 左右子树高度之差(简称平衡因子)的绝对值不超过1(-1/0/1)
    1.png

    (默认平衡因子=右子树高度-左子树高度)
如果一棵二叉搜索树是高度平衡的,它就是AVL树。如果它有n个结点,其高度可保持在$O(log_2 n)$,搜索时间复杂度O($log_2 n$)。
AVL树是由BST二叉搜索树改进而来,基本概念参考BST篇,本篇文章不再详细描述.
AVL树节点的定义:
  1. template<class K, class V>
  2. struct AVLTreeNode
  3. {
  4.                 //三叉链: left right parent
  5.      AVLTreeNode* _left;   // 该节点的左孩子
  6.      AVLTreeNode* _right;  // 该节点的右孩子
  7.      AVLTreeNode* _parent; // 该节点的双亲
  8.      std::pair<K,V> _kv;         // 键值对
  9.      int _bf;              // 该节点的平衡因子 balance factor
  10.                 AVLTreeNode(const std::pair<K, V>& kv)
  11.                         :_left(nullptr)
  12.                         , _right(nullptr)
  13.                         , _parent(nullptr)
  14.                         , _kv(kv)
  15.                         , _bf(0)
  16.                 {}
  17. };
复制代码
AVL树的插入

基本情况分析

AVL树就是在二叉搜索树的基础上引入了平衡因子,因此AVL树也可以看成是二叉搜索树。那么AVL树的插入过程可以分为两步:

  • 按照二叉搜索树的方式插入新节点
  • 调整节点的平衡因子
    a. 更新父结点平衡因子
    b. 根据父结点的平衡因子进行相应的操作
对于平衡因子
插入新结点后,首先可能会影响父结点的平衡因子,迭代往上,可能还会影响部分或全部(到根节点)祖先结点的平衡因子.
具体地说,即插入新结点后,需要根据父结点平衡因子的情况,决定是否继续往上对祖结点进行更新平衡因子,最多到达根结点.
平衡因子对应的操作

父结点平衡因子如何决定是否继续往上更新? 取决于更新后parent->_bf的值

  • 若parent->_bf == 1 || parent->_bf == -1 ,说明插入前的父结点一定是左右子树高度相等,即_bf为0.新增结点后父结点所在子树高度一定发生变化,爷爷结点所在子树也可能发生变化,因此需要进行迭代更新祖先平衡因子.
    不可能是2或-2变成1或-1,因为这是AVL树的插入,至少先保证是AVL树才能插入
    2.png

  • 若parent->_bf == 2 || parent->_bf == -2 ,说明插入前的父结点所在子树一边高一边低,之后新结点恰好插入到了高的一边,导致不平衡,需要做旋转操作,调整平衡.
  • parent->_bf == 0,插入后父结点的平衡因子平衡,说明原先父结点的左右子树是一边高一边低,然后插入刚好插到了低的一边,使其平衡.插入结束.
旋转操作

分析需要旋转的情况

首先,要针对AVL子树,找出/抽象出可能发生旋转的情况。
一棵可能发生旋转的树至少高度差为1,即两个结点以上。(前提)
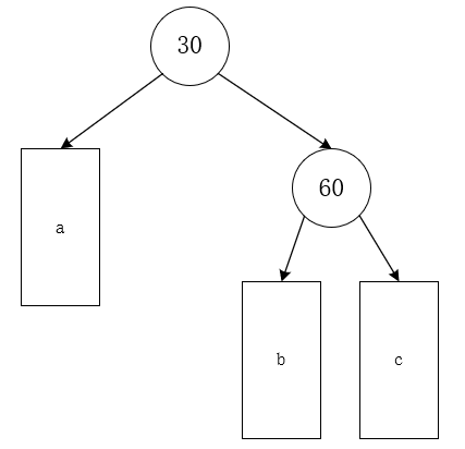
3.png
  1.                                                 (可能会发生旋转的子树至少两个结点以上)
复制代码

其中a,b,c是三棵AVL子树

  • 当子树高度h==0时,即a、b、c都为空树
  • 当子树高度h==1时,a、b、c都是叶子结点
  • 当子树高度h==2时,a、b、c分别有三种情况
    4.png

    此时这个AVL子树有3*3*3=27种情况:a为x/y/z,b为x/y/z,c为x/y/z。
  • 如此往下,还有更多的情况,但全部形状都可以用图中模型来代替。
以h==2为例,只有当b或c为z情况时,插入到b或c子树会影响到根结点(30),并使其发生旋转。
其他情况都无法使其发生旋转。因此,当前可以总结出2种需要旋转的情况:

  • c为z时,插到c中(左左)
  • b为z时,插到b中(左右)
左左:较高的子树是左孩子(60)所在子树,插到左孩子(60)的左子树上(c)引发根(30)旋转的情况叫“左左”。
顺口:插在较高左子树的左孩子上。
同理,水平镜像翻转的AVL子树也同理
5.png


  • c为z时,插到c中(右右)
  • b为z时,插到b中(右左)
结论

合并起来总共4种需要旋转的情况,验证其他高度也同样如此。
其中插入b子树使30结点发生旋转的情况:a为x/y/z,b为z,c为x/y/z,总共3*3=9种
其中插入c子树使30结点发生旋转的情况:a为x/y/z,b为x/y/z,c为z,总共3*3=9种
特例的数量非常多,无法穷举。
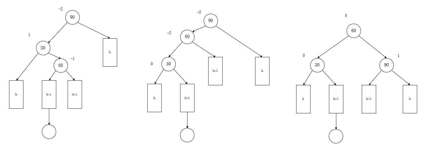
4种旋转操方法与特征


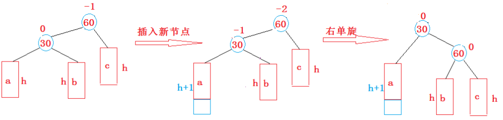
  • 新节点插入较高左子树的左侧---左左:右单旋

    • 特征
      父:-2
      子:-1
    6.png

    最左边高,旧根的左孩子变成新根,旧根成为新根的右孩子,同时领养新根的旧右孩子。
    儿子上位 -- 儿子当根
    右单旋(主角是儿子):老爹在我的右上方,让老爹以我为轴,旋转到我的右下方

  • 新节点插入较高右子树的右侧---右右:左单旋

    • 特征
      父:2
      子:1
    7.png

    最右边高,旧根的右孩子变成新根,旧根成为新根的左孩子,同时领养新根的旧左孩子。

  • 新节点插入较高左子树的右侧---左右:先左单旋再右单旋

    • 特征
      父:-2
      子:1
    8.png


    • 旧根的左儿子的右孩子(简称右孙子)高:让右孙子成为旧根的左孩子,旧左孩子变成孙子的左孩子,同时领养孙子的左孩子。 -- 对右孙子做左旋操作
    • 右孙子成为旧根的新左儿子,再对新作儿子做右旋操作即可。
    孙子上位 --- 孙子当根
    感性描述:先左单旋再右单旋(孙子是主角):我在孙子左边,我的老爹在孙子右边,然后让孙子的爹(我)左旋下来,孙子成为我的爹,我的旧爹成为孙子的爹;最后再让孙子的新爹右旋下来。
    描述2: 两次旋转分别用途: 1. 转化成标准单旋; 2.标准单旋

  • 新节点插入较高右子树的左侧---右左:先右单旋再左单旋

    • 特征
      父:2
      子:-1
    9.png


总共4种旋转的情况:

  • 右旋(左左)
  • 左旋(右右)
  • 先左旋再右旋(左右)
  • 先右旋再左旋(右左)
简要图:
10.png

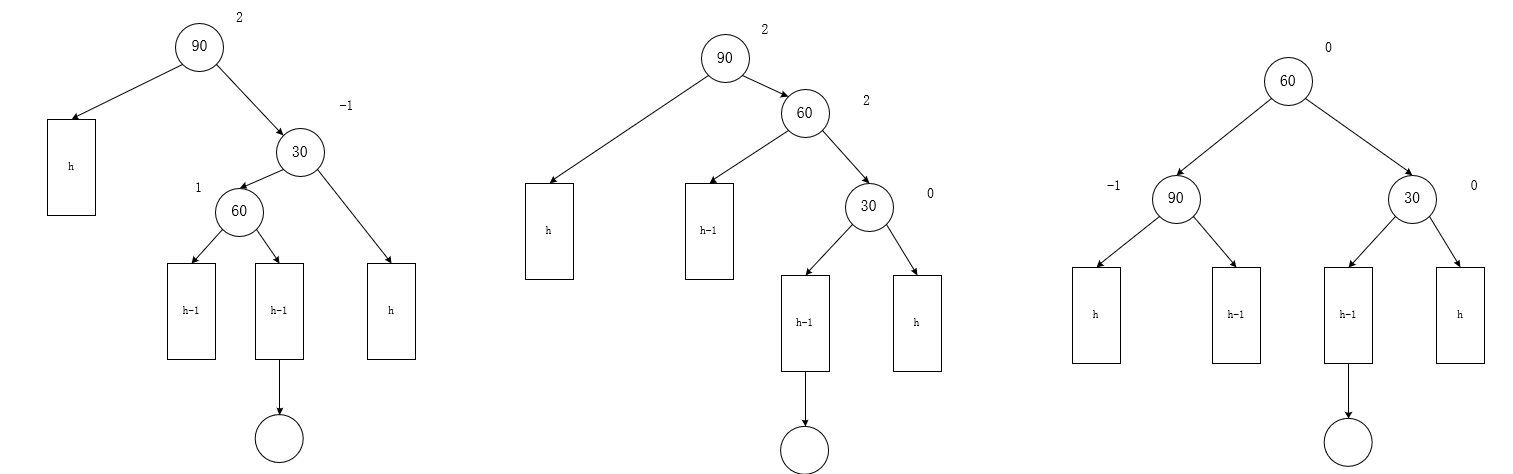
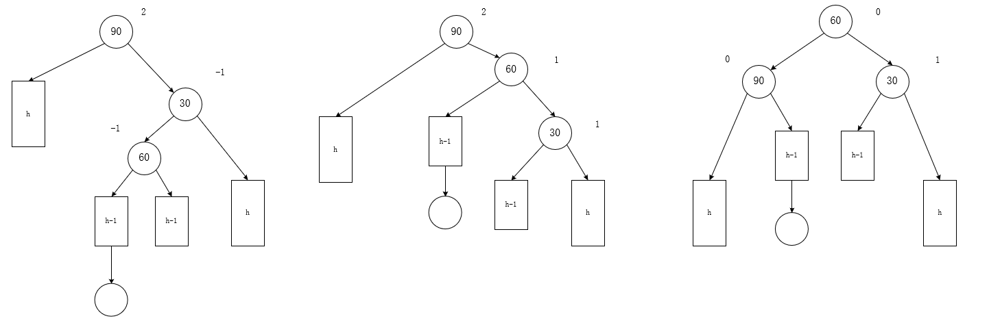
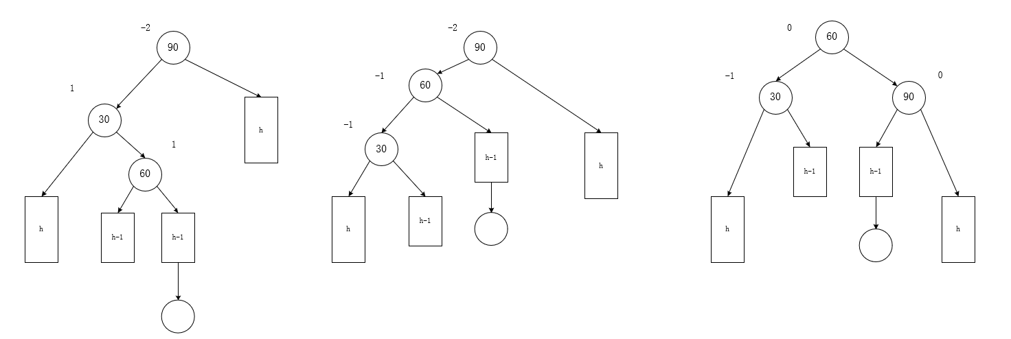
6种双旋平衡因子特征

容易发现单旋平衡因子都是0(高度差为0),而双旋平衡因子较为复杂,观察规律总结出一共6种情况。

  • 左右左(h>0)

    • 旧(特征)
      孙:-1

    • 父:1
      子:0
      孙:0
    11.png


  • 左右右(h>0)

    • 旧(特征)
      孙:1

    • 父:0
      子:-1
      孙:0
    12.png



  • 右左右(h>0)

    • 旧(特征)
      孙:1

    • 父:-1
      子:0
      孙:0
    13.png


  • 右左左(h>0)

    • 旧(特征)
      孙:-1

    • 父:0
      子:1
      孙:0
    14.png


  • 左右,特例(h==0)

    • 旧(特征)
      孙:0

    • 父:0
      子:0
      孙:0
    15.png


  • 右左(h==0),与5相同

    • 旧(特征)
      孙:0

    • 父:0
      子:0
      孙:0

代码实现

四种旋转实现
  1. //1. 右右
  2.     void RotateL(Node* parent) {
  3.         //. 记录爷爷(父亲的父亲)
  4.         //. 我是父的右儿子(我是主角,儿子是新插入结点)
  5.         //. 记录下我的左子树(托管)
  6.         //  旋转(爷、父、子关系重新调整)
  7.         //      成为爷爷的右儿子 (如果没有爷爷,则跳过;且说明父是根,更新我成为根)
  8.         //      把我的左子树托管给父成为他的右孩子
  9.         //      旧父成为我的左儿子,旧父的父更新成我
  10.         //. 更新平衡因子
  11.               
  12.         //. 记录爷爷(父亲的父亲)
  13.         //. 我是父的右儿子
  14.         //. 记录下我的左子树
  15.         Node* pparent = parent->_parent;
  16.         Node* cur = parent->_right;
  17.         Node* leftchild = cur->_left;
  18.         //旋转
  19.         //. 成为爷爷的右儿子 (如果没有爷爷,则跳过;且说明父是根,更新我成为根)
  20.         if (pparent) {              //有爷爷
  21.             if(parent == pparent->_left)
  22.                 pparent->_left = cur;
  23.             else {
  24.                 pparent->_right = cur;
  25.             }
  26.             cur->_parent = pparent; //三叉链维护
  27.         }
  28.         else {                      //没有爷爷,父亲是根
  29.             cur->_parent = nullptr;
  30.             _root = cur;
  31.         }
  32.         //. 父子地位交换
  33.         parent->_right = leftchild;
  34.         if (leftchild) {            //三叉链维护
  35.             leftchild->_parent = parent;
  36.         }
  37.         cur->_left = parent;
  38.         parent->_parent = cur;
  39.         //旋转 【end】
  40.         //更新平衡因子
  41.         cur->_bf = 0;
  42.         parent->_bf = 0;
  43.     }
  44. //2. 左左
  45.     void RotateR(Node* parent) {
  46.         //. 记录爷爷
  47.         //. 我是父的左儿子
  48.         //. 记录下我的右子树
  49.         Node* pparent = parent->_parent;
  50.         Node* cur = parent->_left;
  51.         Node* rightChild = cur->_right;
  52.         //旋转
  53.         //. 成为爷爷的左儿子 (如果没有爷爷,则跳过;且说明父是根,更新我成为根)
  54.         if (pparent) {              //有爷爷
  55.             if (parent == pparent->_left)
  56.                 pparent->_left = cur;
  57.             else {
  58.                 pparent->_right = cur;
  59.             }
  60.             cur->_parent = pparent; //三叉链维护
  61.         }
  62.         else {                      //没有爷爷,父亲是根
  63.             cur->_parent = nullptr;
  64.             _root = cur;
  65.         }
  66.         //. 父子地位交换
  67.         parent->_left = rightChild;
  68.         if (rightChild) {            //三叉链维护
  69.             rightChild->_parent = parent;
  70.         }
  71.         cur->_right = parent;
  72.         parent->_parent = cur;
  73.         //旋转 【end】
  74.         //更新平衡因子
  75.         cur->_bf = 0;
  76.         parent->_bf = 0;
  77.     }
  78. //3. 左右
  79.     void RotateLR(Node* parent) {
  80.         //我是儿子,但是主角是孙子(新插入结点)
  81.         //记录下孙子
  82.         //记录下孙子的平衡因子(特征)
  83.         //对孙子进行左单旋,再右旋
  84.         //更新平衡因子
  85.         Node* cur = parent->_left;
  86.         Node* grandson = cur->_right;
  87.         int bf = grandson->_bf;
  88.         RotateL(cur);
  89.         RotateR(grandson->_parent);
  90.         //三种情况
  91.         if (bf == 0) {
  92.             parent->_bf = 0;
  93.             cur->_bf = 0;
  94.             grandson->_bf = 0;
  95.         }
  96.         else if (bf == 1) {
  97.             parent->_bf = 0;
  98.             cur->_bf = -1;
  99.             grandson->_bf = 0;
  100.         }
  101.         else if (bf == -1) {
  102.             parent->_bf = 1;
  103.             cur->_bf = 0;
  104.             grandson->_bf = 0;
  105.         }
  106.         else {
  107.             assert(false); //错误检查
  108.         }
  109.     }
  110. //4. 右左
  111.     void RotateRL(Node* parent) {
  112.         //我是儿子(父的右孩子),但是主角是孙子
  113.         //记录下孙子(我的左孩子)
  114.         //记录下孙子的平衡因子(特征)
  115.         //对孙子进行右单旋,再左单旋
  116.         //更新平衡因子
  117.         Node* cur = parent->_right;
  118.         Node* grandson = cur->_left;
  119.         int bf = grandson->_bf;
  120.         RotateR(cur); //将孙子的爹,就是我,进行右单旋
  121.         RotateL(grandson->_parent); //将儿子的新爹进行左单旋
  122.         //三种情况
  123.         if (bf == 0) {
  124.             parent->_bf = 0;
  125.             cur->_bf = 0;
  126.             grandson->_bf = 0;
  127.         }
  128.         else if (bf == 1) {
  129.             parent->_bf = -1;
  130.             cur->_bf = 0;
  131.             grandson->_bf = 0;
  132.         }
  133.         else if (bf == -1) {
  134.             parent->_bf = 0;
  135.             cur->_bf = 1;
  136.             grandson->_bf = 0;
  137.         }
  138.         else {
  139.             assert(false);
  140.         }
  141.     }
复制代码
插入操作实现
  1.     bool Insert(const std::pair<K,V> kv) {
  2.         //第一个结点做根
  3.         if (_root == nullptr) {
  4.             _root = new Node(kv);
  5.             _size++;
  6.             return true;
  7.         }
  8.         //搜索
  9.         Node* parent = _root;
  10.         Node* cur = _root;
  11.         while (cur) {
  12.             //大于往右走
  13.             if (kv.first > cur->_kv.first) {
  14.                 parent = cur;
  15.                 cur = cur->_right;
  16.             }
  17.             //小于往左走
  18.             else if (kv.first < cur->_kv.first) {
  19.                 parent = cur;
  20.                 cur = cur->_left;
  21.             }
  22.             //找到了,存在相同的key
  23.             else {
  24.                 return false;
  25.             }
  26.         } //循环搜索...
  27.         //不存在,可以插入
  28.         cur = new Node(kv);                         //new后,cur值发生改变,之后都不能使用地址进行比较
  29.         if (cur->_kv.first < parent->_kv.first) {
  30.             parent->_left = cur;
  31.         }
  32.         else {
  33.             parent->_right = cur;
  34.         }
  35.         cur->_parent = parent; //三叉链链上父结点
  36.         _size++;
  37.         //调整平衡因子 : 最多到根,根的parent为nullptr
  38.         while (parent) {
  39.             //更新平衡因子
  40.             if (cur->_kv.first < parent->_kv.first) {
  41.                 parent->_bf--;
  42.             }
  43.             else {
  44.                 parent->_bf++;
  45.             }
  46.             //看是否需要调整
  47.             if (parent->_bf == 1 || parent->_bf == -1) {
  48.                 cur = parent;
  49.                 parent = parent->_parent;
  50.             }
  51.             else if(parent->_bf == 0){
  52.                 break;
  53.             }
  54.             else if(parent->_bf == 2 || parent->_bf == -2){
  55.                 if (parent->_bf == -2 && cur->_bf == -1) {      //左左
  56.                     RotateR(parent);
  57.                 }
  58.                 else if (parent->_bf == 2 && cur->_bf == 1) {   //右右
  59.                     RotateL(parent);
  60.                 }
  61.                 else if (parent->_bf == -2 && cur->_bf == 1) {  //左右
  62.                     RotateLR(parent);
  63.                 }
  64.                 else if(parent->_bf == 2 && cur->_bf == -1){    //右左
  65.                     RotateRL(parent);
  66.                 }
  67.                 else {                                          //错误检查
  68.                     assert(false);
  69.                 }
  70.                 break;
  71.             }
  72.             else {
  73.                 assert(false);
  74.             }
  75.         }
  76.         return true;
  77.     }
复制代码
树高度与是否平衡树判断实现
  1.     size_t Hight() {
  2.         return _Hight(_root);
  3.     }
  4.     bool IsBalance() {
  5.         return _IsBalance(_root);
  6.     }
  7.    
  8.     size_t _Hight(Node* root) {
  9.         if (root == 0) return 0;                //空
  10.         size_t leftH = _Hight(root->_left);
  11.         size_t rightH = _Hight(root->_right);
  12.         return std::max(leftH, rightH) + 1;     //+1:自己高度为1
  13.     }
  14.     bool _IsBalance(Node* root) {
  15.         if (root == nullptr) return true;
  16.         int leftH = _Hight(root->_left);
  17.         int rightH = _Hight(root->_right);
  18.         int bf = rightH-leftH;
  19.         return  bf == root->_bf         //平衡因子
  20.             && (bf > -2 && bf < 2)      //高度差
  21.             && _IsBalance(root->_left)  
  22.             && _IsBalance(root->_right);
  23.     }
复制代码
其他实现

[code]#include#include#includetemplatestruct AVLTreeNode {        //三叉链    AVLTreeNode* _left;    AVLTreeNode* _right;    AVLTreeNode* _parent;    int _bf; //balance factor    std::pair _kv;    AVLTreeNode(const std::pair& kv)        :_left(nullptr),        _right(nullptr),        _parent(nullptr),        _bf(0),        _kv(kv)    {}};templateclass AVLTree {public:    using Node = AVLTreeNode;    AVLTree()    :_root(nullptr)    ,_size(0)    {}public:    void InOrder() {        _InOrder(_root);        std::cout

相关推荐

您需要登录后才可以回帖 登录 | 立即注册