找回密码
 立即注册
首页 业界区 业界 微梁键基近场动力学理论中的断裂准则

微梁键基近场动力学理论中的断裂准则

拓炊羡 2025-6-4 18:04:20
临界能量释放率(Critical Energy Release Rate, Gc)是材料固有的断裂韧性参数(单位:J/m²),表示形成单位面积裂纹所需消耗的能量,通常通过实验测定(如三点弯试验等)。
断裂能(Fracture Energy,G0)在PD理论中特指破坏单位面积裂纹面上所有键所需的总能量,与Gc等价。
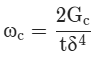
临界微势能(Critical Micropotential, wc)为单根键断裂的能量阈值,当单根键的微势能大于临界微势能时,该键发生断裂。
1.png

微势能表示单根微梁键存储的应变能密度。
微梁键基PD模型将键视为微型梁结构,其变形包括轴向拉伸、扭转和弯曲(横向剪切)。微势能(其中键的轴向刚度 cax、扭转微模量 ctor、弯曲微模量 cbz 和 cby )通过能量守恒原理推导,即近场动力学(PD)理论下的应变能与经典连续介质力学(CCM)理论下的应变能相等。最后通过键刚度矩阵 K(由cax、ctor、cbz 和 cby 组成) 整合所有变形模式,得到通用微势能公式:由键局部坐标系下的位移向量(含平动和转动自由度)和键刚度矩阵表示。
注:在经典键基PD模型中,断裂准则通过临界伸长率判断,但微梁键模型需用能量准则,因弯曲/剪切变形不引起键伸长。

来源:程序园用户自行投稿发布,如果侵权,请联系站长删除
免责声明:如果侵犯了您的权益,请联系站长,我们会及时删除侵权内容,谢谢合作!

相关推荐

前天 14:31

举报

懂技术并乐意极积无私分享的人越来越少。珍惜
您需要登录后才可以回帖 登录 | 立即注册