找回密码
 立即注册
首页 业界区 安全 计算机组成原理—运算方式

计算机组成原理—运算方式

旁拮猾 2025-9-8 13:18:21
计算机组成原理—中央处理器(1)

四、计算机的运行方式

1.有符号数和无符号数

计算机的数均存在寄存器中,通常称寄存器的位数为机器字长
1.1无符号数

没有表示符号的数,每一位均可存放数值。eg:若机器字长16位,则可表示无符号数的范围为0-65535(2^16 - 1)
1.2有符号数

符号的“+”、“-”用“0”和“1”来表示。0=>正;1=>负
真值:带有正负的二进制数字表达
机器数:真值的机器表示
计算码值。前提:已知真值
原码反码补码正数整数0,真值同原码同原码正数小数0.小数后真值同原码同原码负数整数1,去负号真值首位不变,后位取反首位不变,最后1位加1负数小数1.小数后无负号真值首位不变,后位取反首位不变,最后1位加1以8进制为例,不同码对应的真值范围
1.png


  • 移码
已知真值,求其移码
移码 = 真值 + 2^n(真值位数)   最高位为正负位
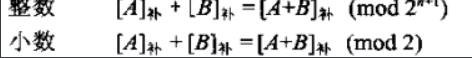
注:二进制的加减法
2.数的定点、浮点表示

2.1定点表示

2.png

2.2浮点表示

N = S * r^j
S:是尾数(可正可负,首位非零)
j:为阶数(可正可负)
r:为基数(2、4、8、16进制)
eg:N = 11.0101 =>0.110101 * 2^10(二进制)
2.2.1此为浮点位的表示形式

3.png

2.2.2 定点数和浮点数的比较

定点数浮点数范围小大精度低高运算步骤少多溢出判断本身判断规格化阶数判断3.定点运算

3.1移位

小数点不动,左移,绝对值增大;反之减小

  • 移位规则
符号位不变 +
4.png

3.2加减运算

全部换成补码进行 +运算
5.png

:超出的位丢掉,所得的结果为补码(要还原)

  • 溢出判断
一个符号位:正正 ->负或是负负->正为溢出;若有进位,则与原操作 数符号对比,相同,未溢出,反之,溢出
两个符号位:10/01为溢出,最高位为正真的符号位
4.浮点四则运算

4.1加减运算


  • 对阶(小阶向大阶对齐)
先写出要运算的数的计算机补码表示
6.png

再求阶差
7.png

结果为负且等于(注意结果是补码)-2,说明y的阶大于x的阶,x->y对齐:尾数向右移动两位,x的阶要增大2
8.png


  • 尾数求和
直接相加即可
9.png


  • 规格化
左规:将结果00.0xxx => 00.1xxx
​           将结果11.1xxx => 11.0xxx
​           尾数向左移动,阶数减小
右规:将结果01.xxx ->00.1xxx
​           将结果10.xxx ->11.0xxx
​           尾数向右移动,阶数减大
10.png


  • 舍入
“0”舍“1”入,尾数右移时,同”四舍五入“
”恒置1“法,尾数右移时,最右位恒为1

  • 溢出判断
根据阶码来判断
11.png


来源:程序园用户自行投稿发布,如果侵权,请联系站长删除
免责声明:如果侵犯了您的权益,请联系站长,我们会及时删除侵权内容,谢谢合作!

相关推荐

2025-10-25 15:17:19

举报

2025-11-20 11:11:27

举报

前天 15:53

举报

懂技术并乐意极积无私分享的人越来越少。珍惜
您需要登录后才可以回帖 登录 | 立即注册