登录
/
注册
首页
论坛
其它
首页
科技
业界
安全
程序
广播
Follow
关于
导读
排行榜
资讯
发帖说明
登录
/
注册
账号
自动登录
找回密码
密码
登录
立即注册
搜索
搜索
关闭
CSDN热搜
程序园
精品问答
技术交流
资源下载
本版
帖子
用户
软件
问答
教程
代码
写记录
写博客
小组
VIP申请
VIP网盘
网盘
联系我们
发帖说明
道具
勋章
任务
淘帖
动态
分享
留言板
导读
设置
我的收藏
退出
腾讯QQ
微信登录
社区
›
业界区
›
安全
安全
今日:
90
|
主题:
7595
收藏本版
(
0
)
推荐主题
读商战数据挖掘:你需要了解的数据科学与分析思维03数据挖掘流程
剑指offer-27、字符串的排列
计算机组成原理—概述
时序数据库 Apache IoTDB 毕业五周年,“对暗号”获取你的蛇年 T 恤!
数据库安全实战:访问控制与行级权限管理
MariaDB 和 GreatSQL 性能差异背后的真相
Keepalived 的高可用配置与使用
Docker Swarm 集群搭建
【Linux】grub命令行引导进入windows系统
安全访问,打造纯净安全的鸿蒙版小红书图库访问体验
mysql数据库定时执行sql语句
新窗
综合排序
最新主题
热门推荐
精选内容
《ESP32-S3使用指南—IDF版 V1.6》第四十三章视频播放器实验
第四十三章视频播放器实验 1)实验平台:正点原子DNESP32S3开发板 2)章节摘自【正点原子】ESP32-S3使用指南—IDF版 V1.6 3)购买链接:https://detail.tmall.com/item.htm?&id=768499342659 4)全套实验源码+手册+视频下载地址:http:// ...
丘奕奕
5 天前
1027
0
4
MySQL 基础架构(二):连接层与数据存储层深度解析
MySQL系列文章 在上一篇文章《MySQL 基础架构(一):SQL语句的执行之旅》中,我们深入探讨了MySQL的核心服务层与存储引擎层。本文将聚焦于MySQL架构的另外两个关键组成部分:连接层与数据存储层,揭秘客户端如何与MySQL建立通信桥梁,以 ...
东郭欣然
5 天前
909
0
5
Powershell 管理 后台/计划 作业(六)
目录 [*]管理 后台/计划 作业 [*]后台作业 [*]本地作业 [*]远程作业 [*]CIM / WMI 作业 [*]作业的管理 [*]检索作业 [*]查看子作业 [*]简单案例 [*]计划作业 [*]作业选项 [*]作业触发器 [*]创建和注册 [*]使用流程 [*]查看与管理 [ ...
炀餮氢
5 天前
206
0
6
VictoriaMetrics单节点部署
VictoriaMetrics单节点部署 简介 VictoriaMetrics 是一个高性能、高扩展性的开源时间序列数据库(TSDB)和监控解决方案,专为处理大规模指标数据设计 数据库语言:PromQL,MetricsQL 官方网站:https://victoriametrics.com/ 官方文档:ht ...
轧岔
5 天前
1025
0
8
大厂裁员不断,这个高薪岗位却找不到人?
大家好,我是陈哥。 当下,裁员潮席卷全球:微软裁撤万人级游戏部门,谷歌AI伦理团队被优化,亚马逊用机器人取代数万仓储岗位。然而,DevOps工程师的招聘却逆势而上。 据美国在线求职平台FlexJobs数据显示:2024年第一季度,资深DevOps工 ...
痕伯
5 天前
532
0
6
WSL2搭建基于Docker的ESP32开发环境
WSL2 安装 [*]如何在 Windows 上安装 WSL2 Docker安装和配置 一键安装脚本 配置 测试Docker 设置以非 root 用户身份管理 Docker [*]Docker Engine 的 Linux 安装后步骤 创建docker组。 将您的用户添加到docker组。 注销并重新登 ...
崔瑜然
5 天前
411
0
6
Web端实时通信技术SSE在携程机票业务中的实践应用
本文由携程前端开发专家Chris Xia分享,关注新技术革新和研发效率提升。 1、引言 本文介绍了携程机票前端基于Server-Sent Events(SSE)实现服务端推送的企业级全链路通用技术解决方案。文章深入探讨了 SSE 技术在应用过程中包括方案对 ...
梁丘艷蕙
5 天前
163
0
6
Docker Swarm 集群搭建
本章将和大家分享 Docker Swarm 集群的搭建过程。废话不多说,下面我们直接进入主题。 一、Docker Swarm 简介 1、简介 Docker Swarm 是 Docker 的集群管理工具。它将 Docker 主机池转变为单个虚拟 Docker 主机。 Docker Swarm 提供了标 ...
决台
5 天前
867
0
11
AI大模型在垂直领域面临两大困局
转载学习:郑志明院士:AI大模型在垂直领域面临两大困局 郑志明院士解析当前AI大模型在垂直领域面临的困局,提出破解高精产业应用难题的新思路! 1. AI大模型垂直领域应用困局 [*]中国科学院院士郑志明在CCBN 2025开幕式指出“复杂高精 ...
旁拮猾
5 天前
636
0
5
读人形机器人07零售行业
1. 零售行业 1.1. 在过去熙熙攘攘的集市中,商人们能叫出顾客的名字,还能根据个人的品位和需求推荐商品 1.2. 如今,零售业正以前所未有的速度发展演变,人形机器人有望借助前沿科技重现个性化服务 1.3. 人形机器人正引领零售业迈 ...
寇秀娟
5 天前
95
0
1
Linux强制修改用户密码
1.在开机过程中,快速按下键盘上的方向键↑和↓。目的是告知引导程序,我们需要在引导页面选择不同的操作,以便让引导程序暂停。 使用↑和↓将选择行设置为第一行(背景高亮即为选中),按下键盘上的e,进入编辑模式 2.将光标一直移动 ...
赶塑坠
5 天前
225
0
1
Trae + Blender MCP
Blender及Trae Blender MCP安装、配置与调试详细过程 一、Trae Blender MCP安装 [*]安装uv [*]安装途径选择:在Trae平台安装Blender MCP时,明确不能通过Marketplace创建MCP,必须采用手动安装方式,避免因错误安装途径导致安装失败。 [ ...
坡琨
5 天前
1051
0
8
C#序列化技术:BinaryFormatter、System.Text.Json、Protocol Buffers
在 C# 开发中,序列化是对象与数据之间桥梁式的存在,广泛应用于数据存储、网络传输、远程通信等场景。 序列化:将数据结构或对象状态转换为可存储或可传输的格式的过程。这个过程将内存中的对象转换为字节序列,可以写入文件、数据库或 ...
刃减胸
5 天前
156
0
5
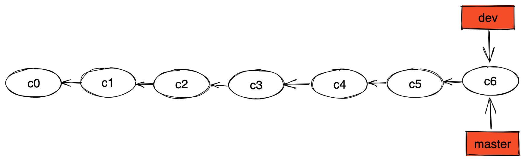
Git 常用命令总结
1. 状态 1.1 文件状态 2. 分支 2.1 分支常用命令 [*]git branch xxx:新建分支 [*]git checkout xxx:切换分支 [*]git checkout -b xxx:新建分支并切换到该分支(相当于上面两条命令) [*]git branch -d xxx:删除分支 [*]git bra ...
讹过畔
5 天前
1067
0
3
【GitHub每日速递 20251211】开源免费!OpenCode——能在终端畅用的AI编码神器来袭
原文: https://mp.weixin.qq.com/s/6O-JFXBFyx_mx2ujULfFyQ 开源免费!OpenCode——能在终端畅用的AI编码神器来袭 [opencode] 是一个 在终端中运行的AI编程助手 的 工具。简单讲,它能直接在命令行里帮你写代码、改代码,像有个程序员 ...
袁勤
5 天前
963
0
1
redis使用lua脚本迁移数据到集群版redis失败怎么解决
假如使用Lua脚本做数据迁移,比如迁移到阿里云的tair的时候,会报错,原因是集群版的redis,脚本里的所有keys,都是同一个slot的。 但是redis的slot有16384个,很难保证插入的数据是同一个slot。假如分开不同的slot来插入,就要调用多次l ...
类饲冰
5 天前
445
0
4
Worker模块源码实战:万字长文解析DolphinScheduler如何实现亿级任务调度
Apache DolphinScheduler的Worker模块是其分布式调度系统的核心组件之一,负责任务执行、资源管理及集群动态调度。本文将通过源码剖析,揭示其设计思想与实现细节. 1、Worker接收Master RPC请求架构图 Worker服务的Netty提供和Master ...
赐度虻
5 天前
446
0
3
组件内部尝试模拟页面onPageShow
尝试在父组件中改变子组件UI中未用到的状态变量【失败】 一个页面入口文件,一个组件 子组件用@Prop不行,用@Link也不行 点击查看 Index.ets 代码点击查看 text01.ets 代码尝试使用onAreaChange事件【失败】 一个组件,两个页面入口文 ...
冷晓晴
5 天前
324
0
4
第10章异常-Exception
第10章异常-Exception 10.1看个实际的问题和一段代码 10.2解决方案-异常捕获 对异常进行捕获,保证程序可以继续运行. 10.3 异常介绍 ● 基本概念 Java语言中,将程序执行中发生的不正常情况称为“异常”。(开发过程中的语法错误和逻 ...
阎一禾
5 天前
670
0
5
题解:P6063 [USACO05JAN] The Wedding Juicer G
本题思路 我们只需要把每个柱子上的果汁水位设为最高果汁水位,再向四周释放果汁就可以了。最后的答案就是所有位置水的高度减原高度的和。 本题步骤 [*]我们先找到最高的一个柱子,将最高水位设为这根柱子的高度。 [*]将每个柱子上的 ...
迁岂罚
5 天前
928
0
3
下一页 »
1 ...
148
149
150
151
152
153
154
155
... 380
/ 380 页
下一页
返 回
快速发帖
还可输入
80
个字符
高级模式
B
Color
Image
Link
Quote
Code
Smilies
您需要登录后才可以发帖
登录
|
立即注册
本版积分规则
发表帖子
转播给听众
发帖
安全
收藏
7595
本版主题
0
收藏人数
板块介绍填写区域,请于后台编辑
财富榜{圆}
3934307807
991124
anyue1937
9994893
kk14977
6845358
4
xiangqian
638210
5
韶又彤
9997
6
宋子
9982
7
闰咄阅
9993
8
刎唇
9993
9
俞瑛瑶
9998
10
蓬森莉
9951
查看更多
社区公告
本月热榜
843
windows常见命令
758
京城亚南酒业上门回收白酒老酒名酒茅台五粮
652
电视盒子 E900V22C Armbian Linux 安装与卸
482
2025年科研党必备!学术深度AI论文写作工具
715
ITR经典案例 | 燕千云携手汽车电子巨头,升
243
2025企业级ITSM产品推荐:年度IT服务管理升
773
回归基本功之pytorch学习笔记
973
NeurIPS 2025 | 浙大、浙工大等团队提出LRM
41
读智能新物种02合作伙伴(下)
572
推荐一种手动设置异步线程等待机制的解决方
879
一个表示金额的数字是 100000000L,这是多
615
DNA甲基化调控生物标志物及发病机制
174
副业营销(Side-Project Marketing
311
人工智能:无需复杂配置!Gemini 3 国内使
1002
剑指offer-41、和为S的连续正数序列
437
SpringCloud 常见面试题(三)
312
STM32按键扫描
411
【新品】H7-TOOL的250M示波器模组性能系统
241
BCD损坏(0xc000000f), 0xc0000255, 0xc00
750
Debian 12/13可用的华宇拼音输入法
浏览过的版块
业界