登录
/
注册
首页
论坛
其它
首页
科技
业界
安全
程序
广播
Follow
关于
导读
排行榜
资讯
发帖说明
登录
/
注册
账号
自动登录
找回密码
密码
登录
立即注册
搜索
搜索
关闭
CSDN热搜
程序园
精品问答
技术交流
资源下载
本版
帖子
用户
软件
问答
教程
代码
写记录
写博客
小组
VIP申请
VIP网盘
网盘
联系我们
发帖说明
道具
勋章
任务
淘帖
动态
分享
留言板
导读
设置
我的收藏
退出
腾讯QQ
微信登录
社区
›
业界区
›
业界
业界
今日:
554
|
主题:
10847
收藏本版
(
0
)
推荐主题
应急响应-日志分析
当自己真的发布一款产品
HEIF:更高质量、更小体积,开启 HarmonyOS 图像新体验
阿里巴巴为什么禁止超过3张表join?
Claude Code 官方内部团队最佳实践!
hot100之数组
开发的设计和重构,为开发效率服务
Windows桌面应用自动更新解决方案SharpUpdater5发布
历劫波,明真我——Debug Commune
用上了 Claude Code,才发现 Cursor 和 Gemini Cli 都是弱智
我和AI不得不说的故事:现在是最好的时代也是最坏的时代
新窗
综合排序
最新主题
热门推荐
精选内容
快速实现一个简单的bigpipe模型
在这篇http://www.cnblogs.com/wsky/archive/2010/12/11/1902969.html文章中对facebook的bigpipe作了较长篇幅的描述,现在我们来快速实现一个简单的bigpipe模型 先描述几个概念: Pagelet:页面功能模块化的单位 BigPipeClient:解释并呈 ...
单于易槐
前天 18:53
572
0
4
WSL初探
1 简介 WSL( Windows Subsystem for Linux )是微软开发的兼容层,允许在 Windows 10 及更高版本上运行原生Linux二进制文件(如 Ubuntu 、 Debian 等发行版),无需传统虚拟机或双系统。 核心功能 原生兼容:直接运行Linux ...
殳世英
前天 18:51
926
0
5
ArkUI-X在Android平台动态化开发指南
本文介绍如何在Android平台进行ArkUI-X动态化开发,包括动态化目录规则及约束。 适用场景 动态化主要包括两个典型场景: 场景1:框架动态化,为了降低应用ROM体积占用,及满足动态升级框架目的; 场景2:特性Bundle动态化,特性和宿主应 ...
迎脾
前天 18:49
956
0
4
国内三大HR系统:Moka、北森、大易,你了解多少?
在数字化时代,人力资源管理系统(HR 系统)已成为企业提升管理效率、优化人才战略的关键工具。国内市场上,Moka、北森、大易凭借其卓越的功能和优质的服务,脱颖而出,成为众多企业的首选。本文将深入剖析这三大 HR 系统的功能、优势, ...
国瑾瑶
前天 18:43
531
0
6
为什么互联网这么卷?
这篇文章节选自公司内部的一次会议,感觉可能对其他人也有帮助,就分享了出来。因为我本身就职于游戏行业,所以文中的很多例子是以游戏行业为主,但也适用于大多数互联网行业。如果进行转载,请注明出处和作者。 1. 为什么互联网这么卷? ...
呵烘稿
前天 18:43
1014
0
5
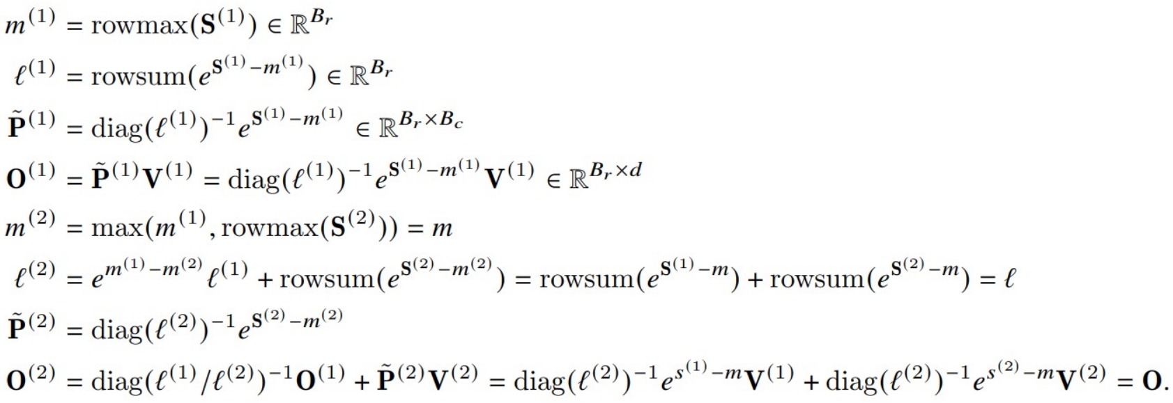
探秘Transformer系列之(19)----FlashAttention V2 及升级版本
探秘Transformer系列之(19)----FlashAttention V2 及升级版本 目录 [*]探秘Transformer系列之(19)----FlashAttention V2 及升级版本 [*]0x00 概述 [*]0x01 FlashAttention V2 [*]1.1 动机 [*]1.2 方案 [*]减少冗余计算 [*]增加 ...
喳谍
前天 18:41
324
0
4
Spring AI 增加混元 embedding 向量功能
上次我们讨论了如何将自己的开源项目发布到 Maven 中央仓库,确保其能够方便地被其他开发者使用和集成。而我们的项目 spring-ai-hunyuan 已经具备了正常的聊天对话功能,包括文本聊天和图片理解等基础功能。今天,我们进一步优化和扩展了 ...
茅断卉
前天 18:39
264
0
2
记录一下Windows系统下的命令行参数的字符个数限制
记得在三年前,我们在做应用升级,选型了通过启动传参的方式,客户端通过传递参数给更新器 参数,执行应用升级。一开始更新的应用不多,参数的字符个数也是在1000以内,没有发现问题。后来随着全家桶应用的新增,应用个数越来越多,直到 ...
厌外
前天 18:37
385
0
5
面向对象程序设计
第一次博客作业 一、前言 第一次作业 第一次作业有五道题,前四道为入门及简单的小题,最后一题为难度较大的答题判断程序。主要考察对类的属性和方法的设计与使用,以及在规定格式下对程序用户的输入进行解析从而获取题目、答卷等信息 ...
求几少
前天 18:35
289
0
6
是猫踩键盘还是乱码?不,这是你刚写的正则表达式
New
^(([^()[\]\\.,;:\s@"]+(\.[^()[\]\\.,;:\s@"]+)*)|(".+"))@((\[[0-9]{1,3}\.[0-9]{1,3}\.[0-9]{1,3}\.[0-9]{1,3}\])|(([a-zA-Z\-0-9]+\.)+[a-zA-Z]{2,}))$ 盯着上面这行代码看 3 秒钟。 你的第一反应是什么? 是外星文明发送的加密信号 ...
剧拧并
前天 18:35
29
0
0
软件设计模式系列之七——原型模式
1 模式的定义 原型模式(Prototype Pattern)是一种创建型设计模式,其主要目的是通过复制现有对象来创建新对象,而不是使用构造函数。原型模式将对象的创建委托给原型对象,通过克隆(复制)来生成新对象,这种方式可以避免对象的重复 ...
痨砖
前天 18:33
1077
0
5
面向对象实践之路-提升抽象层次
多少次有人问我如何构建一个比较好的类阶层次,如何使用面向对象进行设计,或者问为什么我看了那么多面向对象和设计模式的书一到使用的时候却总是写出面向过程的代码。每当我碰到这些问题的时候我总是回答,其实我也不知道。真的,其实我 ...
喳谍
前天 18:31
873
0
2
n8n 快速入门
今天,我将为大家介绍一个当前非常流行的可视化智能体搭建平台——n8n。n8n(发音为 "n-eight-n")是一个强大的自动化工具,它能够帮助您轻松地将任何具有API的应用程序与其他应用程序进行连接,并通过最少的代码或甚至无需编写代码来实 ...
全阳霁
前天 18:31
1036
0
2
PostgreSQL三种关闭方式的区别
1、使用smart参数关闭数据库: smart:最为安全,但最慢,需要将所有连接都断开后,才会关库,默认关库模式。 smart: 等所有的连接中止后,关闭数据库。如果客户端连接不终止, 则无法关闭数据库。 $ pg_ctl stop -D $PGDATA -m smart wai ...
届表
前天 18:28
741
0
1
HTTP协议与RESTful API实战手册(终章):构建企业级API的九大秘籍
title: HTTP协议与RESTful API实战手册(终章):构建企业级API的九大秘籍 来源:程序园用户自行投稿发布,如果侵权,请联系站长删除 免责声明:如果侵犯了您的权益,请联系站长,我们会及时删除侵权内容,谢谢合作! ...
闹忧踫
前天 18:26
274
0
6
精选 4 款基于 .NET 开源、功能强大的 Windows 系统优化工具
前言 今天大姚给大家推荐 4 款基于 .NET 开源、功能强大的 Windows 系统优化工具,希望可以帮助你轻松提升 Windows 系统性能与使用体验。 Optimizer Optimizer 是一款基于 .NET 开源(GPL-3.0 license)、功能强大的 Windows 系统优化 ...
匣卒
前天 18:22
974
0
2
[js] 页面可见性API 监测用户切屏
Page Visibility API 在做考试系统或者网课系统的时候,通常需要监测用户是否隐藏了当前标签页在看其它页面。 Page Visibility API提供了一个事件和两个状态来监测页面可见性,可以用它来判断用户是否切屏。 visibilitychange 这个事件 ...
即息极
前天 18:20
1068
0
4
C++20新增属性[[no_unique_address]]详解
有一个古老的c++问题:struct Empty{}; sizeof(Empty); 请问Empty的大小是多少。 很多新手会回答0,但稍有经验的开发者会说出正确答案,大小至少是1字节。 这看起来很奇怪,但这是语言规范决定的:c++要求同一类型的不同实例对象必须拥有 ...
方方仪
前天 18:20
1034
0
4
Visual Studio 让JS也支持代码折叠 [ Visual Studio | #region
前言 Visual Studio的代码折叠功能非常好用,#region #endregion 这个词连搜狗的词库里面都出现了(不含'#'号),可见使用频率很高,但是他不支持js的代码折叠 : ( 最近Ext用得比较多,一写就是上百行JS代码,非常不方便,想 ...
羊舌正清
前天 18:18
997
0
3
FFmpeg开发笔记(六十九)Windows给FFmpeg集成AV1编码器libaom
AV1是一种新兴的免费视频编码标准,它由开放媒体联盟(Alliance for Open Media,简称AOM)于2018年制定,融合了Google VP10、Mozilla Daala以及Cisco Thor三款开源项目的成果。据说在实际测试中,AV1标准比H.265(HEVC)的压缩率提升 ...
轩辕琳芳
前天 18:18
459
0
4
下一页 »
1 ...
76
77
78
79
80
81
82
83
84
... 543
/ 543 页
下一页
返 回
快速发帖
还可输入
80
个字符
高级模式
B
Color
Image
Link
Quote
Code
Smilies
您需要登录后才可以发帖
登录
|
立即注册
本版积分规则
发表帖子
转播给听众
发帖
业界
收藏
10847
本版主题
0
收藏人数
板块介绍填写区域,请于后台编辑
财富榜{圆}
3934307807
991124
anyue1937
9994893
kk14977
6845358
4
xiangqian
638210
5
韶又彤
9997
6
宋子
9982
7
闰咄阅
9993
8
刎唇
9993
9
俞瑛瑶
9998
10
蓬森莉
9951
查看更多
社区公告
本月热榜
1005
精读 GitHub - servo 浏览器(一)
562
GPUStack v2:推理加速释放算力潜能,开源
366
小白也能看懂的RLHF:基础篇
375
前端跨标签页通信方案(下)
820
Java初尝试:电梯调度迭代开发
229
痞子衡嵌入式:i.MXRT中FlexSPI外设速度上
916
Spring Security 鉴权流程与过滤器链深度剖
166
AWTK上使用Signal/Slot解决多页面同步的问
414
APEX实战第6篇:APEX 如何接入业务数据库用
1020
基于DeepSeek-R1 15b微调训练自主的领域大
723
基于LangGraph开发复杂智能体学习一则
899
有用的包 #Python
396
对于原型、原型链和继承的理解
311
.NET周刊【11月第2期 2025-11-09】
359
每周读书与学习->JMeter性能测试脚本编写实
154
Flask入门:轻松掌握API路由定义
374
信竞回忆录
286
国产化Excel开发组件Spire.XLS教程:使用Py
623
宇树 Qmini 双足机器人训练个人经验总结
244
[源码系列:手写Spring] AOP第二节:JDK动