登录
/
注册
首页
论坛
其它
首页
科技
业界
安全
程序
广播
Follow
关于
导读
排行榜
资讯
发帖说明
登录
/
注册
账号
自动登录
找回密码
密码
登录
立即注册
搜索
搜索
关闭
CSDN热搜
程序园
精品问答
技术交流
资源下载
本版
帖子
用户
软件
问答
教程
代码
写记录
写博客
小组
VIP申请
VIP网盘
网盘
联系我们
发帖说明
道具
勋章
任务
淘帖
动态
分享
留言板
导读
设置
我的收藏
退出
腾讯QQ
微信登录
社区
›
业界区
›
业界
业界
今日:
269
|
主题:
10933
收藏本版
(
0
)
推荐主题
应急响应-日志分析
当自己真的发布一款产品
用上了 Claude Code,才发现 Cursor 和 Gemini Cli 都是弱智
HEIF:更高质量、更小体积,开启 HarmonyOS 图像新体验
基于算法配对的电子管特性图示仪
阿里巴巴为什么禁止超过3张表join?
Claude Code 官方内部团队最佳实践!
hot100之数组
开发的设计和重构,为开发效率服务
Windows桌面应用自动更新解决方案SharpUpdater5发布
精读 GitHub - servo 浏览器(一)
新窗
综合排序
最新主题
热门推荐
精选内容
机器学习主要算法全称整理
博客地址:https://www.cnblogs.com/zylyehuo/ 参考 《动手学深度学习》第二版 参考 【王树森】深度强化学习(DRL) MLP [*]感知机 -- Perceptron [*]多层感知机 -- MLP -- Multi-Layer Perceptron CNN(通常用于图片) [*]卷积神经网 ...
酒跚骼
2025-12-12 13:18
342
0
5
REVM移植小记
之前做过的一些部署移植的工作,基本都是用C++语言写的,在后来我学了一些Rust,并且慢慢熟悉了Rust的工具链,最近也在尝试部署一些Rust的开源项目到OpenEuler RISC-V操作系统上(我们团队叫OERV)。 REVM是一个用Rust编写的以太 ...
扈怀易
2025-12-12 13:08
949
0
3
Web性能优化:从 2 秒到秒开
前不久发布了个人笔记软件 Nebula Note 的Web预览版(传送门),整体开发体验和使用效果都很满意。但作为Web工程师的我习惯性的打开了浏览器开发者工具的Network面板,主要想观察首次加载时间。2 秒+!显然,这个加载速度无法接受。于是便 ...
当贵
2025-12-12 13:01
513
0
7
【深度学习基础】:VGG实战篇(图像风格迁移)
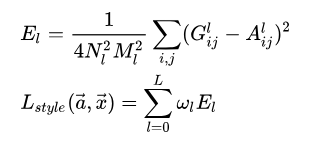
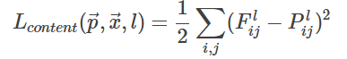
目录 [*]前言 [*]style transfer原理 [*]原理解析 [*]损失函数 [*]style transfer代码 [*]效果图 [*]fast style transfer 代码 [*]效果图 前言 本篇来带大家看看VGG的实战篇,这次来带大家看看计算机视觉中一个有趣的小任务,图 ...
闹忧踫
2025-12-12 12:44
793
0
1
一生一芯学习:pa2.1 RTFM
前面的内容后面再补,因为近期要C考核了,所以先准备下C考核所需的内容。 RTFSC(2) 整理一条指令在NEMU中的执行结果 从函数中跳转,宏嵌套中慢慢进入最终的代码,人肉gdb一下, 比如在sdb中执行一次si,那么根据cmd_si代码那我们会跳转到 ...
瞧厨
2025-12-12 12:38
550
0
4
【译】让多线程调试更有意义
调试复杂的程序常常感觉像是在迷宫般的线程和堆栈跟踪中跳转。理解线程行为和跟踪问题的挑战可能令人生畏,这会导致更长的开发时间和更大的挫败感。但是现在,有一个解决方案可以简化这个过程——在 Visual Studio 的并行堆栈窗口中 ...
师佳思
2025-12-12 12:38
210
0
5
全面掌握 Jest:从零开始的测试指南(上篇)
随着JavaScript在前后端开发中的广泛应用,测试已成为保证代码质量的关键环节。 为什么需要单元测试 在我们的开发过程中,经常需要定义一些算法函数,例如将接口返回的数据转换成UI组件所需的格式。为了校验这些算法函数的健壮性,部分 ...
碛物
2025-12-12 12:34
497
0
6
细说 ASP.NET Cache 及其高级用法
许多做过程序性能优化的人,或者关注过程程序性能的人,应该都使用过各类缓存技术。而我今天所说的Cache是专指ASP.NET的Cache,我们可以使用HttpRuntime.Cache访问到的那个Cache,而不是其它的缓存技术。 以前我在【我心目中的Asp.net核 ...
站竣凰
2025-12-12 12:34
817
0
4
用nvm使用多个版本的Node.js附下载链接及node不是内部或外部命令
一、为什么要安装多个版本的node.js 现在开发前端项目,有的需要node.js版本是18以上的,或者其他版本,然而电脑上安装的是v16,直接升级到18,又怕影响老项目,最好的办法就是安装多个版本,需要哪个切换一下就行。 网上有一些安装多个 ...
捐催制
2025-12-12 12:32
311
0
4
5. Nginx 负载均衡配置案例(附有详细截图说明++)
5. Nginx 负载均衡配置案例(附有详细截图说明++) @ 目录 [*]5. Nginx 负载均衡配置案例(附有详细截图说明++) [*]1. Nginx 负载均衡 配置实例 [*]3. 注意事项和避免的坑 [*]4. 文档: Nginx 的 upstream 配置技巧 [*]5. 最后: 1. Nginx ...
呵烘稿
2025-12-12 12:30
695
0
1
历数Java虚拟机GC的种种缺点
Java通过垃圾收集器(Garbage Collection,简称GC)实现自动内存管理,这样可有效减轻Java应用开发人员的负担,也避免了更多内存泄露的风险。 如果你用过C++等需要手动管理内存的语言,那么你就会体会到GC带来的便利,降低了语言使用的门 ...
能氐吨
2025-12-12 12:28
434
0
5
monaco-editor 的 Language Services
我们是袋鼠云数栈 UED 团队,致力于打造优秀的一站式数据中台产品。我们始终保持工匠精神,探索前端道路,为社区积累并传播经验价值。 本文作者:修能 这是一段平平无奇的 SQL 语法 如果把这段代码放到 monaco-editor(@0.49.0) 中,一切 ...
趣侮
2025-12-12 12:23
129
0
2
C#/.NET/.NET Core优秀项目和框架2025年10月简报
前言 公众号每月定期推广和分享的C#/.NET/.NET Core优秀项目和框架(每周至少会推荐两个优秀的项目和框架当然节假日除外),公众号推文中有项目和框架的详细介绍、功能特点、使用方式以及部分功能截图等(打不开或者打开GitHub很慢的 ...
孜稞
2025-12-12 12:21
735
0
4
HTML - 1、基础
来源:程序园用户自行投稿发布,如果侵权,请联系站长删除 免责声明:如果侵犯了您的权益,请联系站长,我们会及时删除侵权内容,谢谢合作!
瞧厨
2025-12-12 12:21
999
0
1
docker-compose部署gitlab
一、gitlab介绍 GitLab是一个开源的、基于Git的版本控制系统。 1. 核心功能 [*]代码托管 [*]gitlab允许用户创建项目,并将代码存储在这些项目中,方便用户上传和下载代码,并支持多种编程语言,无论是个人开发者的小型项目,还是团队 ...
打阗渖
2025-12-12 12:15
969
0
2
基于洞察的智能编程法——从直觉到代码的原型炼成术
裸历
2025-12-12 12:11
29
0
8
uni-app项目Tabbar实现切换icon动效
前情 不知道该说是公司对产品要求高,还是公司喜欢作,最近接手公司的一个全新跨端(快抖微支+app)的项目,项目还没有上线就已经改了4版了,改改UI,换换皮也就算了,关键是流程也是在一直修改调整,最近就接到老板说这小程序UI看久了 ...
怀陶宁
2025-12-12 12:09
955
0
8
重链剖分
重链剖分 定义 重链剖分是树链剖分的一种解决方式,通过树链剖分将树划分为多个连续部分方便执行操作 我们进行如下定义: [*]son 表示 u 结点的重儿子。对于重儿子, 我们定义在 u 的所有子树中最大的子节点,且重儿子只有一个 [*]sz ...
勉欤铅
2025-12-12 11:58
289
0
2
Traefik,想说爱你不容易:一场动态反向代理的心累之旅
来源:程序园用户自行投稿发布,如果侵权,请联系站长删除 免责声明:如果侵犯了您的权益,请联系站长,我们会及时删除侵权内容,谢谢合作!
幌斛者
2025-12-12 11:58
390
0
3
2025 年 AI 编程工具生成效果全景比拼:从技术实力到综合评分
在 AI 编程工具从 “代码补全助手” 向 “全流程开发伙伴” 演进的关键阶段,生成效果的竞争已不再局限于单一代码片段的正确性,而是延伸至工程化落地、行业合规适配与团队协作效率的多维战场。本文结合腾讯云官方数据与行业实践,从技术 ...
柴古香
2025-12-12 11:52
492
0
1
下一页 »
1 ...
291
292
293
294
295
296
297
298
... 547
/ 547 页
下一页
返 回
快速发帖
还可输入
80
个字符
高级模式
B
Color
Image
Link
Quote
Code
Smilies
您需要登录后才可以发帖
登录
|
立即注册
本版积分规则
发表帖子
转播给听众
发帖
业界
收藏
10933
本版主题
0
收藏人数
板块介绍填写区域,请于后台编辑
财富榜{圆}
3934307807
991124
anyue1937
9994891
kk14977
6845357
4
xiangqian
638210
5
韶又彤
9997
6
宋子
9982
7
闰咄阅
9993
8
刎唇
9993
9
俞瑛瑶
9998
10
蓬森莉
9951
查看更多
社区公告
本月热榜
1009
精读 GitHub - servo 浏览器(一)
825
Java初尝试:电梯调度迭代开发
562
GPUStack v2:推理加速释放算力潜能,开源
368
小白也能看懂的RLHF:基础篇
784
读社会工程卷2:解读肢体语言01非语言交流
724
基于LangGraph开发复杂智能体学习一则
317
.NET周刊【11月第2期 2025-11-09】
231
痞子衡嵌入式:i.MXRT中FlexSPI外设速度上
916
Spring Security 鉴权流程与过滤器链深度剖
167
AWTK上使用Signal/Slot解决多页面同步的问
692
别再盲目地堆砌技术了!大部份大数据项目的
417
APEX实战第6篇:APEX 如何接入业务数据库用
589
对标MinIO!全新一代分布式文件系统诞生!
576
vue-dawn-flow 低代码流程插件
457
华为开发者空间,让根技术开发触手可及
900
有用的包 #Python
398
对于原型、原型链和继承的理解
637
CSP-S2025做题记录
361
每周读书与学习->JMeter性能测试脚本编写实
157
Flask入门:轻松掌握API路由定义