登录
/
注册
首页
论坛
其它
首页
科技
业界
安全
程序
广播
Follow
关于
导读
排行榜
资讯
发帖说明
登录
/
注册
账号
自动登录
找回密码
密码
登录
立即注册
搜索
搜索
关闭
CSDN热搜
程序园
精品问答
技术交流
资源下载
本版
帖子
用户
软件
问答
教程
代码
写记录
写博客
小组
VIP申请
VIP网盘
网盘
联系我们
发帖说明
道具
勋章
任务
淘帖
动态
分享
留言板
导读
设置
我的收藏
退出
腾讯QQ
微信登录
社区
›
资源区
›
代码
全部
CSS3
3
HTML
9
劫持跳转
85
代码
今日:
115
|
主题:
1560
收藏本版
(
0
)
推荐主题
Linux C++ 开发4 - 入门makefile一篇文章就够了
【日记】2025 年的第一天!!!!(1688 字)
随记 - 2024 年 12 月 5 日
mORMot虚拟数据集--TOrmTableDataSet
FFmpeg开发笔记(三十)解析H.264码流中的SPS帧和PPS帧
比较简洁的js框架
亚体JS框架写法
理想雪 - 翠鸟协会
【日记】清仓了三个基金(1199 字)
【日记】看到了一只很大的白额高脚蛛(291 字)
FPGA对EEPROM驱动控制(I2C协议)
新窗
综合排序
最新主题
热门推荐
精选内容
使用pgrx开发postgre插件
pg插件开发建议在linux环境下进行, windows可以采用虚拟机的方式开发. 安装虚拟机环境 [*]准备虚拟机, 使用的是ubuntu22.04, 太新的版本会依赖拉取有问题 [*]安装开发工具和依赖: sudo apt-get update sudo apt-get install -y git c ...
姊囝
2025-11-30 01:15
558
0
1
Rust 中的 HashMap 实战指南:理解与优化技巧
Rust 中的 HashMap 实战指南:理解与优化技巧 在 Rust 编程中,HashMap 是一个强大的键值对数据结构,广泛应用于数据统计、信息存储等场景。在本文中,我们将通过三个实际的代码示例,详细讲解 HashMap 的基本用法以及如何在真实项目中 ...
矛赓宁
2025-11-30 01:13
503
0
2
boost_signals2开发者指南:无需依赖boost库的C++事件处理的优雅解决方案
引言 C++开发中,实现组件间松耦合通信一直是一个挑战。传统的回调函数和观察者模式虽然可行,但往往导致代码复杂且难以维护。Boost.Signals库提供了一种优雅的解决方案,通过信号与槽机制实现对象间的高效通信,同时保持代码的清晰和可 ...
南宫玉英
2025-11-30 01:08
271
0
2
理想雪 - 就是为了来见你
写在前面 4002 字 | 陪伴 | 亲密关系 | 患难与共 《理想雪》系列故事均为架空世界观,所有人名、地名等与现实世界无任何关联。 该系列只且仅只为了说明,小说作者在该情境下会诞生的想法和采取的行动,以及背后的世界观、价值观 ...
诸婉丽
2025-11-30 01:07
665
0
3
倒排索引
-CoderOilStation 倒排索引 全文检索的方式从lucene框架到Elastic Search发布框架过渡。索引库和文档库建立数据检索连接。数据记录的方式会影响数据库系统的查询过程和性能。Java Script是web系统的脚本语言。H5版本的发布使得数 ...
归筠溪
2025-11-30 01:05
146
0
4
【日记】明年或许会是非常重要的一年(1231 字)
正文 时间紧迫,简单写写。 今天下午全国上下计划财务处条线的人都加班。从 14:30 开始,一直等通知到 15:30 多才开始做,说是系统只开放到 17:00,但是因为找数据、找会计科目、计算会计等式、冲账这一套下来挺花时间也蛮难的 ...
神泱
2025-11-30 01:03
807
0
3
高性能Python-2理想计算模型和Python虚拟机3为什么要使用Python
1.2 理想化计算与Python虚拟机 要完全理解高性能编程问题,仅了解计算机的基本组件是不够的。所有这些组件之间的相互作用以及它们如何协同工作来解决问题,会带来额外的复杂性。在本节中,我们将探讨一些玩具问题,说明理想的解决方案是 ...
驼娑
2025-11-30 00:21
220
0
2
最短路径问题
最短路径问题 最短路问题是图论中一种重要的算法,本章将包括: 目录 [*]最短路径问题 [*]一.概念 [*]1.概念 [*]2.解决方案 [*]二. \(Flord\) 算法 [*]1.算法思想 [*]2.代码详解 [*]3.算法应用及局限性 [*]二. \(Djikstra\) 算法 ...
缢闸
2025-11-29 23:51
495
0
3
DDD分层设计与异步职责划分:让你的代码不再“异步”混乱
title: DDD分层设计与异步职责划分:让你的代码不再“异步”混乱 date: 2025/05/04 00:18:53 updated: 2025/05/04 00:18:53 author: cmdragon excerpt: DDD分层架构将系统分为用户接口层、应用层、领域层和基础设施层,各层职责明确。 ...
曲愍糙
2025-11-29 22:02
1104
0
3
Ubuntu 16.04 系统(解释器为 python3.12)在Pycharm虚拟环境中安装 pyspider 爬虫工具
一:安装步骤 步骤1. 系统Terminal命令行执行如下命令安装依赖的组件 PhantomJS 步骤2. 系统Terminal命令行执行如下命令安装其他依赖包 步骤3. pyspider 依赖的 tornado 库在 Python 3.12 环境下需要 backports.ssl_match_ ...
喳谍
2025-11-29 21:46
368
0
4
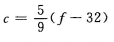
最简单的C程序设计--顺序程序设计
顺序程序设计举例 例一 有人用温度计测量出华氏法表示的温度(如69℉)现要求把它转换为以摄氏法表示的温度(如20℃) 转换公式: 在VS编译器内会报C4996错误,解决见下文:(下同) C4996 'scanf': This function or variable may be ...
僚娥
2025-11-29 20:54
327
0
1
【日记】衣柜到了!ww(444 字)
正文 终于愿意打墨水了。虽然今天上班还是一整个想死的心情。物理意义上上到有些恶心反胃。 所以工作上的事情就不说了,免得倒垃圾,未来也都不想看。 写这则日记时嘴里正嚼着大轩轩给的泡泡糖 w。以前没吃过大大,不过感觉 ...
频鹏凶
2025-11-29 20:30
195
0
1
C++之OpenCV入门到提高005:图像操作
一、介绍 今天是这个系列《C++之 Opencv 入门到提高》得第五篇文章。这篇文章也不难,介绍如何图像的基本操作,比如:读取一张图片的像素值,如何修改一张图片中的像素值,如何读取一张图片,如何保存一张图片等等,这都是基础, ...
晖顶蝇
2025-11-29 19:59
830
0
3
rust学习二十.8、RUST特质的限定,实为对类型的限定
有的时候,可能希望使用的特质已经实现了其它特质(看后面可以知道,实际是要求相关类型实现了其它特质)。 RUST支持为特质(trait)指定限定的特质。 例如我们定义特质A,之后定义了类型T,这个时候还希望T已经实现了特质TC。 在rust中就是 ...
挚魉
2025-11-29 18:58
596
0
1
N+1查询:数据库性能的隐形杀手与终极拯救指南
title: N+1查询:数据库性能的隐形杀手与终极拯救指南 date: 2025/05/06 00:16:30 updated: 2025/05/06 00:16:30 author: cmdragon excerpt: N+1查询问题是ORM中常见的性能陷阱,表现为在查询主对象时,对每个关联对象进行单独查询,导 ...
酒跚骼
2025-11-29 13:29
804
0
2
vxe-table 透视表分组汇总及排序基础配置
vxe-table 透视表分组汇总及排序基础配置,对数据进行汇总后,支持对汇总及子项进行排序。 通过拖拽列到聚合列表,自动对数据进行合计汇总。设置 custom-config.allowGroup 和 custom-config.allowValues 启用拖拽功能 查看官网:https:/ ...
红弘丽
2025-11-29 09:59
363
0
0
[
劫持跳转
]
猎鹰JS框架
猎鹰JS框架 **** 本内容被作者隐藏 ****
阕阵闲
2025-11-29 08:42
93
0
2
FFmpeg开发笔记(三十七)分析SRS对HLS协议里TS包的插帧操作
《FFmpeg开发实战:从零基础到短视频上线》一书的“2.1.2 音视频文件的封装格式”介绍了视频流的PS格式和TS格式。由于TS包的长度固定,从TS流的任一片段开始都能独立解码,因此可以把TS当成音视频文件的封装格式。 鉴于TS包的独立解 ...
获弃
2025-11-29 05:04
1057
0
1
根号分治莫队
莫队 参考文章: 莫队细讲——从零开始学莫队 莫队算法——从入门到黑题 oiwiki--普通莫队 莫队简介 莫队算法是由莫涛提出的算法。在莫涛提出莫队算法之前,莫队算法已经Codeforces 的高手圈里小范围流传,但是莫涛是第一个对莫队算法 ...
福清婉
2025-11-29 03:34
409
0
1
【日记】软考居然一次过了(620 字)
正文 早上空闲的时候,上 QQ 看了一下,许久不见动静的系统架构设计师群有人说出分了。我想高级都出分了,中级应该也出来了,于是用手机查了一下。看到分数几乎快要泪从中来。为什么软考能一次过,银行从业资格证考了两三次都不行啊 ...
丘奕奕
2025-11-29 01:39
475
0
3
下一页 »
1 ...
56
57
58
59
60
61
62
63
64
... 78
/ 78 页
下一页
返 回
快速发帖
选择主题分类
CSS3
HTML
劫持跳转
还可输入
80
个字符
高级模式
B
Color
Image
Link
Quote
Code
Smilies
您需要登录后才可以发帖
登录
|
立即注册
本版积分规则
发表帖子
转播给听众
发帖
代码
收藏
1560
本版主题
0
收藏人数
板块介绍填写区域,请于后台编辑
财富榜{圆}
3934307807
991124
anyue1937
9994893
kk14977
6845357
4
xiangqian
638210
5
韶又彤
9998
6
宋子
9983
7
闰咄阅
9993
8
刎唇
9993
9
俞瑛瑶
9998
10
蓬森莉
9951
查看更多
社区公告
本月热榜
1021
vue vxe-gantt table 甘特图实现任务可拖拽
937
vxe-tree 树组件拖拽排序功能的使用教程
880
vxe-tree 树组件拖拽排序功能的使用教程
869
如何创建你的百Google度!!(实现双搜索引
833
JSAPIThree 加载 3D Tiles 学习笔记:大规
811
JSAPIThree 事件系统学习笔记:处理交互的
788
如何使用 vxe-gantt table 甘特图来实现多
739
vxe-gantt 甘特图使用右键菜单
736
uni-app 无法实现全局 Toast?这个方法做到
698
vue 常用的 gantt 甘特图组件推荐
681
JavaScript 基础笔记碎片-数据类型、变量与
646
vxe-gantt 甘特图实现产品进度列表,自定义
485
如何使用 vxe-gantt table 甘特图来实现多
479
防止跨站脚本攻击(XSS)(完整版HTTP安全
468
如何使用 vxe-table 实现虚拟滚动Dom的查找
447
uni-app - switchTab 跳转到 页面后不走onL
398
B4375 [蓝桥杯青少年组省赛 2025] 庆典队列
362
vxe-table 透视表分组汇总及排序基础配置
260
vxe-table 如何实现跟 excel 一样的筛选框
257
vue 甘特图 vxe-gantt table 任务条可拖拽